Saturday, June 15, 2019

Area Do Triangulo Escaleno

  • Matemática - Área do Triângulo

    Confira a nossa videoaula de Matemática sobre Área de Triângulo. Para saber mais sobre o nosso cursinho preparatório especializado nos vestibulares de ...
    Watch Now
  • El Triangulo Escaleno - ÁREA - PERÍMETRO - FORMULAS

    Para todos los contenidos ordenados visitad: http://edujalonmates.foroactivo.com/ El mejor Canal de Matemáticas de YouTube! Suscribiros y darle a Me Gusta!
    Watch Now
  • ÁREA DO TRIÂNGULO - Geometria Plana - Aula 01

    MABA PRODUÇÕES - Marcos aba ensina a encontrar a área de uma triângulo ( Geometria Plana ), explicando inicialmente, as peculiaridades do triângulo e, ...
    Watch Now
  • Perímetro e Área dos Triângulos (com Fórmulas) | Matemática do ENEM

    Conheça nossa plataforma em http://www.matematicario.com.br Aula de Geometria para o ENEM, sobre perímetro e área de triângulos. Vem comigo!
    Watch Now
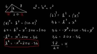
  • Calcular a altura de um triângulo Escaleno

    Passo a passo de como calcular a altura de um triângulo Escaleno!
    Watch Now
  • PERÍMETRO E ÁREA DO TRIÂNGULO EQUILÁTERO - Aula 04

    MABA PRODUÇÕES - Marcos aba ensina a encontrar primeiro o perímetro e na sequência, a encontrar a área do triângulo equilátero de duas diferentes ...
    Watch Now
  • Area de triangulos (tres ejemplos)

    En este video resolvemos tres ejemplos de triángulos con diferentes características. Explicamos qué es la altura de un triángulo.
    Watch Now
  • Área do Triângulo - Vivendo a Matemática - Professora Angela

    Olá Pessoal!! Este vídeo é sobre a área do triângulo. Para calcularmos a área do triângulo podemos utilizar a seguinte fórmula: A= (b x h)/2, ou seja, a área do ...
    Watch Now
  • Área del triángulo cuando conocemos base y altura

    Breve explicación de cómo hallar el área de cualquier triángulo cuando conocemos la base y la altura, dentro del curso de Geometría área y perímetro.
    Watch Now
  • Área del triángulo conociendo los tres lados | FÓRMULA DE HERÓN

    Breve explicación de cómo encontrar el área de un triángulo cuando conocemos la medida de sus tres lados, mediante la fórmula de Herón, dentro del curso ...
    Watch Now
  • Área do triângulo por 2 lados e 1 ângulo

    Aprenda a calcular a área de um triângulo quando você conhece as medidas de dois lados adjacentes e do ângulo formado entre eles! ↓ Para aulas ...
    Watch Now
  • Triângulo escaleno

    Num triângulo escaleno, os três lados possuem comprimentos diferentes. Porque nenhum lado é igual, nenhum ângulo é igual também. Geómetra: Kelly ...
    Watch Now
  • Matemática - Aula 49 - Geometria Plana - Área - Área de Triângulos - Parte 1

    Inscreva-se em nosso canal e fique por dentro das nossas atualizações. Em breve TODA a Matemática, a Química e a Física do Ensino Médio, não perca!
    Watch Now
  • Perímetro y área de un triángulo escaleno

    Se explica cómo calcular perímetro y área de un triángulo escaleno aplicando la formula general cuando es conocida la altura y utilizando la fórmula de Herón ...
    Watch Now
  • ÁREA DO TRIÂNGULO - Aula 03

    MABA PRODUÇÕES - Marcos aba ensina a encontrar primeiro a altura do triângulo retângulo (h), utilizando o teorema de Pitágoras, para, em seguida, ...
    Watch Now
  • Perímetro y área de un triangulo escaleno


    Watch Now
  • Geometria Plana aula 5 - Triângulo Escaleno

    Veja como calcular a área de um triângulo escaleno com o auxilio do teorema de Pitágoras na hora de encontrar a altura deste triângulo.
    Watch Now
  • Área de un triángulo utilizando la función seno - HD

    SUSCRÍBETE: http://bit.ly/VN7586 (NO OLVIDES DAR UN ¨LIKE¨) VISITA: http://math2me.com FB: http://bit.ly/FBmath2me G+: http://google.com/+math2me ...
    Watch Now
  • Área de triângulo dados os três lados - Fórmula de Heron - Prof. Edna


    Watch Now
  • Área do triângulo pelo círculo inscrito (demonstração)

    Venha para o ESTUDE MATEMÁTICA: http://www.estudematematica.com.br Assista à demonstração de uma das fórmulas mais elegantes da Geometria Plana: ...
    Watch Now

No comments:

Post a Comment